eBook – Guide Spring Cloud – NPI EA (cat=Spring Cloud)
announcement - icon

Let's get started with a Microservice Architecture with Spring Cloud:

>> Join Pro and download the eBook

eBook – Mockito – NPI EA (tag = Mockito)
announcement - icon

Mocking is an essential part of unit testing, and the Mockito library makes it easy to write clean and intuitive unit tests for your Java code.

Get started with mocking and improve your application tests using our Mockito guide:

Download the eBook

eBook – Java Concurrency – NPI EA (cat=Java Concurrency)
announcement - icon

Handling concurrency in an application can be a tricky process with many potential pitfalls. A solid grasp of the fundamentals will go a long way to help minimize these issues.

Get started with understanding multi-threaded applications with our Java Concurrency guide:

>> Download the eBook

eBook – Reactive – NPI EA (cat=Reactive)
announcement - icon

Spring 5 added support for reactive programming with the Spring WebFlux module, which has been improved upon ever since. Get started with the Reactor project basics and reactive programming in Spring Boot:

>> Join Pro and download the eBook

eBook – Java Streams – NPI EA (cat=Java Streams)
announcement - icon

Since its introduction in Java 8, the Stream API has become a staple of Java development. The basic operations like iterating, filtering, mapping sequences of elements are deceptively simple to use.

But these can also be overused and fall into some common pitfalls.

To get a better understanding on how Streams work and how to combine them with other language features, check out our guide to Java Streams:

>> Join Pro and download the eBook

eBook – Jackson – NPI EA (cat=Jackson)
announcement - icon

Do JSON right with Jackson

Download the E-book

eBook – HTTP Client – NPI EA (cat=Http Client-Side)
announcement - icon

Get the most out of the Apache HTTP Client

Download the E-book

eBook – Maven – NPI EA (cat = Maven)
announcement - icon

Get Started with Apache Maven:

Download the E-book

eBook – Persistence – NPI EA (cat=Persistence)
announcement - icon

Working on getting your persistence layer right with Spring?

Explore the eBook

eBook – RwS – NPI EA (cat=Spring MVC)
announcement - icon

Building a REST API with Spring?

Download the E-book

Course – LS – NPI EA (cat=Jackson)
announcement - icon

Get started with Spring and Spring Boot, through the Learn Spring course:

>> LEARN SPRING
Course – RWSB – NPI EA (cat=REST)
announcement - icon

Explore Spring Boot 3 and Spring 6 in-depth through building a full REST API with the framework:

>> The New “REST With Spring Boot”

Course – LSS – NPI EA (cat=Spring Security)
announcement - icon

Yes, Spring Security can be complex, from the more advanced functionality within the Core to the deep OAuth support in the framework.

I built the security material as two full courses - Core and OAuth, to get practical with these more complex scenarios. We explore when and how to use each feature and code through it on the backing project.

You can explore the course here:

>> Learn Spring Security

Course – LSD – NPI EA (tag=Spring Data JPA)
announcement - icon

Spring Data JPA is a great way to handle the complexity of JPA with the powerful simplicity of Spring Boot.

Get started with Spring Data JPA through the guided reference course:

>> CHECK OUT THE COURSE

Partner – Moderne – NPI EA (cat=Spring Boot)
announcement - icon

Refactor Java code safely — and automatically — with OpenRewrite.

Refactoring big codebases by hand is slow, risky, and easy to put off. That’s where OpenRewrite comes in. The open-source framework for large-scale, automated code transformations helps teams modernize safely and consistently.

Each month, the creators and maintainers of OpenRewrite at Moderne run live, hands-on training sessions — one for newcomers and one for experienced users. You’ll see how recipes work, how to apply them across projects, and how to modernize code with confidence.

Join the next session, bring your questions, and learn how to automate the kind of work that usually eats your sprint time.

Course – LJB – NPI EA (cat = Core Java)
announcement - icon

Code your way through and build up a solid, practical foundation of Java:

>> Learn Java Basics

Partner – LambdaTest – NPI EA (cat= Testing)
announcement - icon

Distributed systems often come with complex challenges such as service-to-service communication, state management, asynchronous messaging, security, and more.

Dapr (Distributed Application Runtime) provides a set of APIs and building blocks to address these challenges, abstracting away infrastructure so we can focus on business logic.

In this tutorial, we'll focus on Dapr's pub/sub API for message brokering. Using its Spring Boot integration, we'll simplify the creation of a loosely coupled, portable, and easily testable pub/sub messaging system:

>> Flexible Pub/Sub Messaging With Spring Boot and Dapr

1. Overview

In this article, we’re going to discuss Minimax algorithm and its applications in AI. As it’s a game theory algorithm, we’ll implement a simple game using it.

We’ll also discuss the advantages of using the algorithm and see how it can be improved.

2. Introduction

Minimax is a decision-making algorithm, typically used in a turn-based, two player games. The goal of the algorithm is to find the optimal next move.

In the algorithm, one player is called the maximizer, and the other player is a minimizer. If we assign an evaluation score to the game board, one player tries to choose a game state with the maximum score, while the other chooses a state with the minimum score.

In other words, the maximizer works to get the highest score, while the minimizer tries get the lowest score by trying to counter moves.

It is based on the zero-sum game concept. In a zero-sum game, the total utility score is divided among the players. An increase in one player’s score results into the decrease in another player’s score. So, the total score is always zero. For one player to win, the other one has to lose. Examples of such games are chess, poker, checkers, tic-tac-toe.

An interesting fact- in 1997, IBM’s chess-playing computer Deep Blue (built with Minimax) defeated Garry Kasparov (the world champion in chess).

3. Minimax Algorithm

Our goal is to find the best move for the player. To do so, we can just choose the node with best evaluation score. To make the process smarter, we can also look ahead and evaluate potential opponent’s moves.

For each move, we can look ahead as many moves as our computing power allows. The algorithm assumes that the opponent is playing optimally.

Technically, we start with the root node and choose the best possible node. We evaluate nodes based on their evaluation scores. In our case, evaluation function can assign scores to only result nodes (leaves). Therefore, we recursively reach leaves with scores and back propagate the scores.

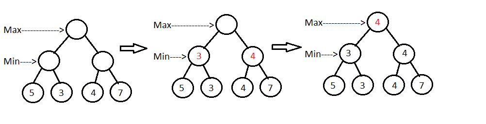
Consider the below game tree:

minimax

Maximizer starts with the root node and chooses the move with the maximum score. Unfortunately, only leaves have evaluation scores with them, and hence the algorithm has to reach leaf nodes recursively. In the given game tree, currently it’s the minimizer’s turn to choose a move from the leaf nodes, so the nodes with minimum scores (here, node 3 and 4) will get selected. It keeps picking the best nodes similarly, till it reaches the root node.

Now, let’s formally define steps of the algorithm:

  1. Construct the complete game tree
  2. Evaluate scores for leaves using the evaluation function
  3. Back-up scores from leaves to root, considering the player type:
    • For max player, select the child with the maximum score
    • For min player, select the child with the minimum score
  4. At the root node, choose the node with max value and perform the corresponding move

4. Implementation

Now, let’s implement a game.

In the game, we have a heap with n number of bones. Both players have to pick up 1,2 or 3 bones in their turn. A player who can’t take any bones loses the game. Each player plays optimally. Given the value of n, let’s write an AI.

To define the rules of the game, we will implement GameOfBones class:

class GameOfBones {
    static List<Integer> getPossibleStates(int noOfBonesInHeap) {
        return IntStream.rangeClosed(1, 3).boxed()
          .map(i -> noOfBonesInHeap - i)
          .filter(newHeapCount -> newHeapCount >= 0)
          .collect(Collectors.toList());
    }
}

Furthermore, we also need the implementation for Node and Tree classes as well:

public class Node {
    int noOfBones;
    boolean isMaxPlayer;
    int score;
    List<Node> children;
    // setters and getters
}
public class Tree {
    Node root;
    // setters and getters
}

Now we’ll implement the algorithm. It requires a game tree to look ahead and find the best move. Let’s implement that:

public class MiniMax {
    Tree tree;

    public void constructTree(int noOfBones) {
        tree = new Tree();
        Node root = new Node(noOfBones, true);
        tree.setRoot(root);
        constructTree(root);
    }

    private void constructTree(Node parentNode) {
        List<Integer> listofPossibleHeaps 
          = GameOfBones.getPossibleStates(parentNode.getNoOfBones());
        boolean isChildMaxPlayer = !parentNode.isMaxPlayer();
        listofPossibleHeaps.forEach(n -> {
            Node newNode = new Node(n, isChildMaxPlayer);
            parentNode.addChild(newNode);
            if (newNode.getNoOfBones() > 0) {
                constructTree(newNode);
            }
        });
    }
}

Now, we’ll implement the checkWin method which will simulate a play out, by selecting optimal moves for both players. It sets the score to:

  • +1, if maximizer wins
  • -1, if minimizer wins

The checkWin will return true if the first player (in our case – maximizer) wins:

public boolean checkWin() {
    Node root = tree.getRoot();
    checkWin(root);
    return root.getScore() == 1;
}

private void checkWin(Node node) {
    List<Node> children = node.getChildren();
    boolean isMaxPlayer = node.isMaxPlayer();
    children.forEach(child -> {
        if (child.getNoOfBones() == 0) {
            child.setScore(isMaxPlayer ? 1 : -1);
        } else {
            checkWin(child);
        }
    });
    Node bestChild = findBestChild(isMaxPlayer, children);
    node.setScore(bestChild.getScore());
}

Here, the findBestChild method finds the node with the maximum score if a player is a maximizer. Otherwise, it returns the child with the minimum score:

private Node findBestChild(boolean isMaxPlayer, List<Node> children) {
    Comparator<Node> byScoreComparator = Comparator.comparing(Node::getScore);
    return children.stream()
      .max(isMaxPlayer ? byScoreComparator : byScoreComparator.reversed())
      .orElseThrow(NoSuchElementException::new);
}

Finally, let’s implement a test case with some values of n (the number of bones in a heap):

@Test
public void givenMiniMax_whenCheckWin_thenComputeOptimal() {
    miniMax.constructTree(6);
    boolean result = miniMax.checkWin();
 
    assertTrue(result);
 
    miniMax.constructTree(8);
    result = miniMax.checkWin();
 
    assertFalse(result);
}

5. Improvement

For most of the problems, it is not feasible to construct an entire game tree. In practice, we can develop a partial tree (construct the tree till a predefined number of levels only).

Then, we will have to implement an evaluation function, which should be able to decide how good the current state is, for the player.

Even if we don’t build complete game trees, it can be time-consuming to compute moves for games with high branching factor.

Fortunately, there is an option to find the optimal move, without exploring every node of the game tree. We can skip some branches by following some rules, and it won’t affect the final result. This process is called pruning. Alpha–beta pruning is a prevalent variant of minimax algorithm.

6. Conclusion

Minimax algorithm is one of the most popular algorithms for computer board games. It is widely applied in turn based games. It can be a good choice when players have complete information about the game.

It may not be the best choice for the games with exceptionally high branching factor (e.g. game of GO). Nonetheless, given a proper implementation, it can be a pretty smart AI.

The code backing this article is available on GitHub. Once you're logged in as a Baeldung Pro Member, start learning and coding on the project.
Baeldung Pro – NPI EA (cat = Baeldung)
announcement - icon

Baeldung Pro comes with both absolutely No-Ads as well as finally with Dark Mode, for a clean learning experience:

>> Explore a clean Baeldung

Once the early-adopter seats are all used, the price will go up and stay at $33/year.

eBook – HTTP Client – NPI EA (cat=HTTP Client-Side)
announcement - icon

The Apache HTTP Client is a very robust library, suitable for both simple and advanced use cases when testing HTTP endpoints. Check out our guide covering basic request and response handling, as well as security, cookies, timeouts, and more:

>> Download the eBook

eBook – Java Concurrency – NPI EA (cat=Java Concurrency)
announcement - icon

Handling concurrency in an application can be a tricky process with many potential pitfalls. A solid grasp of the fundamentals will go a long way to help minimize these issues.

Get started with understanding multi-threaded applications with our Java Concurrency guide:

>> Download the eBook

eBook – Java Streams – NPI EA (cat=Java Streams)
announcement - icon

Since its introduction in Java 8, the Stream API has become a staple of Java development. The basic operations like iterating, filtering, mapping sequences of elements are deceptively simple to use.

But these can also be overused and fall into some common pitfalls.

To get a better understanding on how Streams work and how to combine them with other language features, check out our guide to Java Streams:

>> Join Pro and download the eBook

eBook – Persistence – NPI EA (cat=Persistence)
announcement - icon

Working on getting your persistence layer right with Spring?

Explore the eBook

Course – LS – NPI EA (cat=REST)

announcement - icon

Get started with Spring Boot and with core Spring, through the Learn Spring course:

>> CHECK OUT THE COURSE

Partner – Moderne – NPI EA (tag=Refactoring)
announcement - icon

Modern Java teams move fast — but codebases don’t always keep up. Frameworks change, dependencies drift, and tech debt builds until it starts to drag on delivery. OpenRewrite was built to fix that: an open-source refactoring engine that automates repetitive code changes while keeping developer intent intact.

The monthly training series, led by the creators and maintainers of OpenRewrite at Moderne, walks through real-world migrations and modernization patterns. Whether you’re new to recipes or ready to write your own, you’ll learn practical ways to refactor safely and at scale.

If you’ve ever wished refactoring felt as natural — and as fast — as writing code, this is a good place to start.

eBook Jackson – NPI EA – 3 (cat = Jackson)